Популярные индексы криптовалют
Торговля цифровыми активами имеет много аналогий с традиционным рынком финансов. Поэтому в ней используются техники последнего. Например, для анализа перспективных монет инвесторы применяют индекс криптовалют. Это некий индикатор состояния рынка, который транслирует отношение одной монеты к другой или к ряду активов. С его помощью частные инвесторы формируют портфели, а компании создают фонды.
- Понятие индекса криптовалют
- Какие данные используют индексы
- Отличия криптовалютных индексов от фондовых
- Точность анализа при помощи индексов
- Известные индексы криптовалют
- Coinbase Index Fund
- Bitwise10
- HODL10
- Crypto20
- CCI30
- CRIX
- Bloomberg Galaxy Crypto Index
- Анализ и применение полученных данных
- Расчет цены криптовалюты
- Выводы
- Часто задаваемые вопросы
Понятие индекса криптовалют
Любой рыночный индикатор — это платформа, которая отображает данные о цене и цифровых монет. Индекс криптовалют учитывает стоимость отдельной группы активов. Однако анализируются и другие показатели:
- Текущая цена по рынку.
- Количество монет в обращении.
- Суточный торговый объем цифровых валют.
Например, популярный мониторинг CoinMarketCap отслеживает динамику 15 118 валют (по состоянию на декабрь 2021 года). Другой известный сайт CoinGecko анализирует 11 356 коинов. Эти ресурсы позволяют наблюдать за развитием всего рынка в реальном времени.
Некоторые инструменты предоставляют информацию по определенным критериям. Например, индекс криптовалют на бирже отображает активы на торговых платформах с достаточной ликвидностью. Другие позволяют оценивать перспективы роста отдельных коинов или потенциал группы цифровых валют.

Для расчета криптовалютных индикаторов используют различные методы. Самые популярные инструменты созданы с учетом:
- Цены — курсы всех криптовалют в группе складывают, а полученную сумму делят на число монет (на традиционном рынке так рассчитывают индексы Dow Jones).
- Капитализации — сумму показателей всех активов в списке делят на некое удобное значение (для криптовалютных аналогов S&P 500 значение равно 10).
- Процентных изменений курсов — учитывается курс, который сравнивают с общей ценой монет в группе и добавляют активы, не перевешивающие остальные.
Рыночные значения помогают инвесторам и трейдерам оценивать ситуацию и принимать решения. Крупные игроки создают индексные фонды для долгосрочных вложений. В 2017 году HOLD 10, которым управляет Bitwise Asset Management, принес инвесторам прибыль в 45% уже в первые 2 месяца работы.
Интерес инвесторов к блокчейну постоянно растет. Получать доход от вложений в цифровые активы...
Сеть Биткоина на протяжении 8 лет составляла более 90% от всей рынка. В 2017 году этот показатель...
Сам по себе индикатор реальной стоимости ничего не говорит о скорости или направлении движения...
Какие данные используют индексы
Большая часть сделок с криптовалютами проходит на биржах. Управляемые и децентрализованные торговые платформы — основной источник информации для индексных сайтов. Курсы монет на биржах могут отличаться. Это зависит от спроса и предложения в тот или иной момент.
Чтобы получить как можно более точные показатели, индексные сайты собирают данные со многих бирж. Полный список платформ, на которых торгуется монета, имеется во вкладке «Рынки». Например, Bitcoin в 2026 году представлен на сотнях бирж, а Chainswap продается только на 2 децентрализованных ресурсах.
Индекс криптовалют собирает информацию через публичные API (интерфейс для обмена данными). Мониторинги используют:
- Цены криптовалют.
- Суммы определенных транзакций.
- Тикеры монет (идентификаторы — BTC, ETH и другие).
- Временные метки (фиксируют точный период операций).
- Курсы обмена криптовалют.
Отличия криптовалютных индексов от фондовых
Принципы работы индикаторов на цифровом и традиционном рынках одинаковы. Они показывают текущее состояние индустрии и направление ее развития. Но есть и отличия.
| Криптовалютные индексы | Фондовые инструменты |
|---|---|
| Предоставляют данные о курсах монет различных сетей | Дают информацию о ценах акций |
| Включают доступные активы | Ориентированы на определенные сектора рынка |
Точность анализа при помощи индексов
Сводные показатели позволяют инвесторам оценить перспективу развития рынка. Профессиональные трейдеры могут видеть настроения других участников и принимать решения.
Однако цена одной и той же валюты в нескольких мониторингах может отличаться. Так происходит, потому что некоторые индексные платформы собирают данные от многих бирж. На каждой площадке актив может торговаться в парах с разными фиатными валютами (USD, EUR, RUB, GBP и другими). Индексы по-своему рассчитывают стоимость монеты. На конечную цену влияют такие факторы:
- Характер рынка.
- Торговые обороты.
- Ликвидность валюты.
- Комиссии.
- Частота запроса информации через API.
Показать точный курс актива в реальном времени на всех биржах сложно. Но этого и не нужно. Достаточно знать, что цена точно соответствует конкретному рынку.
Известные индексы криптовалют
Вместо того, чтобы анализировать перспективные монеты, пользователи могут купить индекс криптовалют. Такая сделка сократит временные и финансовые затраты при инвестировании. Профессиональному участнику достаточно будет только валют. Новички могут делать вложения с любой суммы.
Индексная торговля удобнее трейдинга отдельными монетами. Пользователь может:
- Оценить рынок в целом без необходимости открывать сделку по каждому активу. Когда он растет, индекс увеличивается более плавно, чем отдельные монеты, и переходит в состояние стагнации быстрее, чем остальные криптовалюты.
- Распределить часть рисков за счет ребалансировки портфеля. Своевременная оценка рынка позволяет быстро продать слабые инструменты и получить прибыль от лидеров роста.
Такие инструменты сбалансированы по капитализации и пересматриваются раз в день, неделю, месяц или квартал.
Coinbase Index Fund
Индексный фонд от крупнейшей американской криптобиржи доступен только для профессиональных инвесторов из США. Сайт отслеживает Coinbase Index. Данный индикатор определяет общую эффективность криптовалют, представленных на бирже GDAX — подразделении Coinbase. В декабре 2021 года индекс включает 12 цифровых монет, взвешенных по капитализации. Активы могут не входить в общий ТОП. Компания ориентируется только на валюты, перечисленные в GDAX. Поэтому этот индикатор может быть неэффективен в «сезон альткоинов».
Минимальные инвестиции составляют $250 тыс., максимальная сумма ограничена $1 млн. Комиссия фонда установлена на уровне 2%. Корреляция с рынком (коэффициент Пирсона) составляет 97%.
Bitwise10
Один из популярных индексных фондов был основан в 2017 году. Для компании Bitwise Asset Management это еще один проект, ориентированный на американских инвесторов. Bitwise 10 Crypto Index Fund включает 10 крупнейших цифровых валют. Ребалансировку делают раз в месяц после оценки рисков. Активы инвесторов хранят на холодных кошельках компании, аккредитованной для размещения ценных бумаг и криптовалют.
В 2020 году Bitwise 10 добавлен на внебиржевой рынок OTCQX под тикером BITW. Тогда под управлением фонда находилось $120 млн, которые на момент листинга принесли инвесторам 184% прибыли (с января по ноябрь 2020 года). Для сравнения, биткоин за тот же период подорожал на 175%. В 2021 году индекс на 75% состоит из BTC, 13% — ETH. Оставшиеся 12% распределены между активами из первой десятки. Bitwise 10 имеет корреляцию с остальной частью рынка на 99%.

HODL10
Этот инструмент используют для автоматической торговли на биржах Binance, Kraken, Bittrex, Kucoin. Он является частью решения HodlBot, которое облегчает создание и ребалансировку портфеля. HODL10 доступен для всех. Для подключения бота достаточно иметь аккаунт на бирже и купить подписку (от $3 в месяц). Разработчики также предлагают протестировать инструмент бесплатно в течение 7 дней.
Ребалансировку портфеля можно настроить индивидуально. По умолчанию она происходит каждые 28 дней. Корреляция с рынком составляет 99%.
Crypto20
Этот индексный фонд предлагает инвестировать деньги в монету C20, которая объединяет 20 крупнейших валют. Простой формат снижает требования к анализу и ребалансировке портфеля. Активы в Crypto20 размещены так, чтобы одна цифровая валюта составляла не более 10%. Так можно снизить риски.
Портфель пересматривается еженедельно. Для расчета система берет общее число выпущенных монет и умножает его на среднюю цену C20. В ноябре 2021 года криптовалюта платформы торгуется на биржах HitBTC и P2PB2B. Индекс имеет низкий показатель корреляции по сравнению с другими инструментами (96%). Причина — цена C20 не всегда равна чистой стоимости активов в портфеле. Однако инвесторы могут продать за Ethereum на бирже.
CCI30
Инструмент создан в 2017 году американскими разработчиками. Он ориентирован на профессиональных инвесторов из США. В портфель входят 30 топовых криптовалют, каждой их которых присвоен свой вес. Ребалансировка индексной корзины выполняется раз в месяц. Вес пересчитывают каждую неделю.
Для определения рыночной капитализации используется скользящее среднее значение. Это позволяет снизить риск, волатильность и создать сбалансированное портфолио. Корреляция CCI30 с остальным рынком — 99%. Фонд Crypto Fund использует его для отслеживания котировок цифровых валют.
CRIX
Один из первых индексных сайтов был создан в 2016 году программистами из Германии и Сингапура. CRIX использует средневзвешенный учет показателей. В отличие от других индикаторов, он не включает определенное количество валют. Расчет ведется на основе данных криптоактивов, торговые обороты которых составляют 25% общих объемов рынка.
CRIX вычисляется в режиме реального времени. Активы перераспределяют ежеквартально. В зависимости от состояния рынка количество валют в индексной корзине может меняться. Это позволяет уменьшить влияние волатильности. Аналогичный способ используют в индексных показателях CRSP для фондового рынка США. Соотношение монет в корзине регулируется каждый месяц.
Bloomberg Galaxy Crypto Index
Инструмент был запущен в 2018 году для отслеживания 10 самых ликвидных валют. Разработчики — Bloomberg и компания Galaxy Crypto. Индексная корзина включает крупнейшие по капитализации активы. Доля каждого из них составляет 1-30%.
Bloomberg Galaxy Crypto Index пересчитывается каждый месяц. Система выбирает цифровые валюты с торговыми оборотами от $2 млн. Расчет цен ведется с учетом среднего значения спроса и предложения на платформах, одобренных Bloomberg. Криптовалютный индекс может меняться только под влиянием роста или падения курсов монет. Коэффициент корреляции с рынком — 99%.
Анализ и применение полученных данных
Различные индексные платформы предоставляют информацию, ориентированную на потребности пользователей. Трейдеров интересуют самая высокая и минимальная цены валюты за последние сутки. Долгосрочные инвесторы чаще используют для анализа технические показатели актива: алгоритм работы, комиссии за транзакции и другие.
Все сервисы также показывают базовую информацию о цифровой валюте:
- Курс.
- Текущую цену оборотного предложения.
- Общий торговый объем за последние 24 часа.
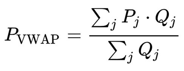
Расчет цены криптовалюты
Обычно индексы показывают суточные изменения цифрового актива. Система рассчитывает средневзвешенную цену объема криптовалюты (VWA) — курс, по которому он торгуется в определенный период:

В формуле приняты значения:
Pvwap — средневзвешенная цена объема.
Pj — стоимость сделки.
Qj — количество единиц актива в операции.
j — каждая операция, проведенная в определенный период.
∑ — сумма транзакции.
Выводы
Криптовалютный индекс — эффективный инструмент для инвестора независимо от стратегии. С его помощью можно выбрать актив для любых целей. Инструмент можно использовать для анализа цифровых валют или в качестве инвестиционного решения. Портфели сокращают затраты времени и денег для входа на рынок. Однако многие фонды доступны только аккредитованным инвесторам.
Часто задаваемые вопросы
Многие фонды ориентированы на аккредитованных инвесторов. Но есть предложения для частных пользователей: HODL10, Crypto20 и другие.
Своевременное восстановление исходных долей позволяет следовать выбранной стратегии инвестиций.
Оба решения определяют стоимость текущего объема монет в обращении на основе скользящих средних значений. Но HODL10 имеет низкий порог входа и позволяет работать с небольшими инвестициями.
Это набор цифровых монет, взвешенных по рыночной капитализации.
DeFi Pulse, S&P Bitcoin, NYSE Index, Bit20, DLT10 и другие.







